Solutions Manual for Mathematics with Applications in the Management, Natural, and Social Sciences, 13th Edition by Margaret L. Lial, Thomas W. Hungerford, John P. Holcomb, Bernadette Mullins
Master your course with the official Solutions Manual for 'Mathematics with Applications in the Management, Natural, and Social Sciences,' 13th Edition by Lial, Hungerford, Holcomb, and Mullins. This indispensable guide offers detailed, step-by-step solutions for exercises found in the textbook, covering key topics like college algebra, finite mathematics, and calculus. It's the perfect tool to check your homework, understand complex problem-solving techniques, and prepare effectively for exams. Boost your confidence and your grades by ensuring you have a solid grasp of every concept.
Show more
Preview 3 of 802 pages
{{ realtimeViews.product }}Users are viewing this page.
4Users are checking out.
$16.00
Verified solution by professor
Money Back Guarantee 24/7
Instant Download on Payment
Orders
1000
Products
1182
Online users
{{ realtimeViews.website }}
Categories
192
Affiliate earnings
$6724
Hackedexams
HackedExams is the website to download all resources for students who want to pass their exams on their first attempt. Our website offers all exam materials, including practice questions with answers, test banks, study guides, notes, summaries, and more for nursing, computer science, biology, psychology, law, and others. With resources from popular exam bodies like ATI, AQA, OCR, Edexcel, Comptia, Azure, and more, you'll easily find everything you need to get certified. Avoid resitting exams; trust in HackedExams.com to give you the resources to pass on your first attempt. Get access to exams from 2019 to 2023 and start your path to success today. "Avoid resits, get certified within days, and pass your exams on your first attempt."
{{ recentPurchase.name.shorten(30) }}
{{ __('Just purchased') }} "{{ recentPurchase.item_name.shorten(30) }}"
{{ recentPurchase.price }}
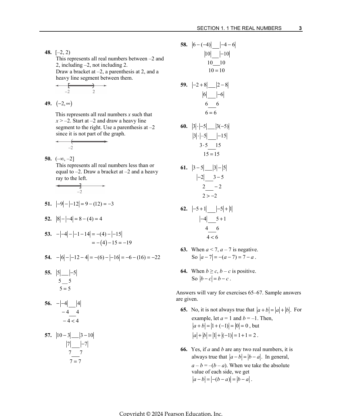
{{ userMessage }}