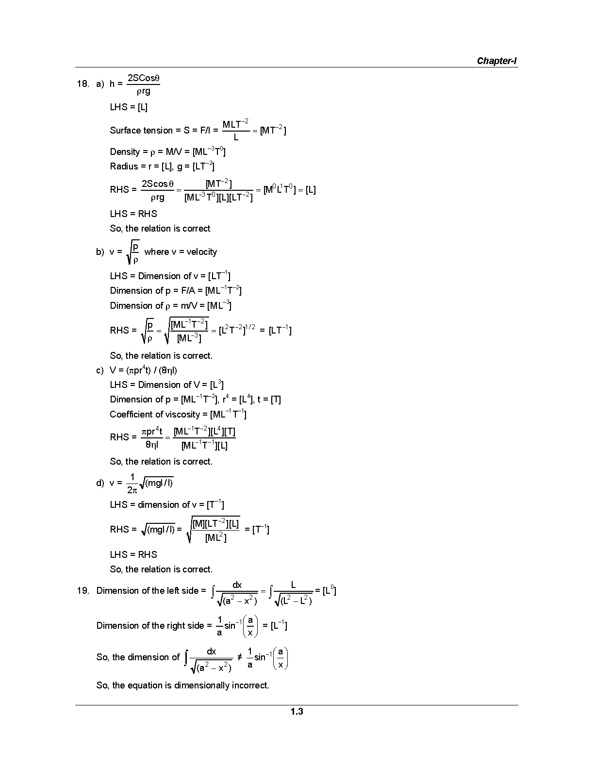
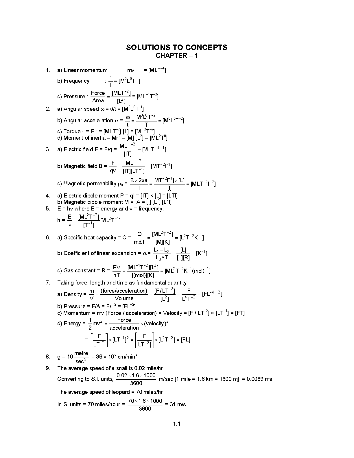
Concepts of Physics Vol 1 by H.C. Verma: Complete Chapter 1 Solutions (Latest Edition Solution Manual)
Unlock your full potential in physics with this comprehensive solution manual for Chapter 1 of H.C. Verma's 'Concepts of Physics, Volume 1'. This guide provides meticulously crafted, step-by-step answers to all chapter exercises, focusing on dimensional analysis and fundamental principles. It's the ultimate study aid to solidify your understanding, check your work, and confidently prepare for exams. Ace your physics course on the first try with these clear and accurate solutions.
Show more
Preview 3 of 217 pages
{{ realtimeViews.product }}Users are viewing this page.
3Users are checking out.
$16.00
Verified solution by professor
Money Back Guarantee 24/7
Instant Download on Payment
Orders
1000
Products
1182
Online users
{{ realtimeViews.website }}
Categories
192
Affiliate earnings
$6724
Hackedexams
HackedExams is the website to download all resources for students who want to pass their exams on their first attempt. Our website offers all exam materials, including practice questions with answers, test banks, study guides, notes, summaries, and more for nursing, computer science, biology, psychology, law, and others. With resources from popular exam bodies like ATI, AQA, OCR, Edexcel, Comptia, Azure, and more, you'll easily find everything you need to get certified. Avoid resitting exams; trust in HackedExams.com to give you the resources to pass on your first attempt. Get access to exams from 2019 to 2023 and start your path to success today. "Avoid resits, get certified within days, and pass your exams on your first attempt."
{{ recentPurchase.name.shorten(30) }}
{{ __('Just purchased') }} "{{ recentPurchase.item_name.shorten(30) }}"
{{ recentPurchase.price }}
{{ userMessage }}