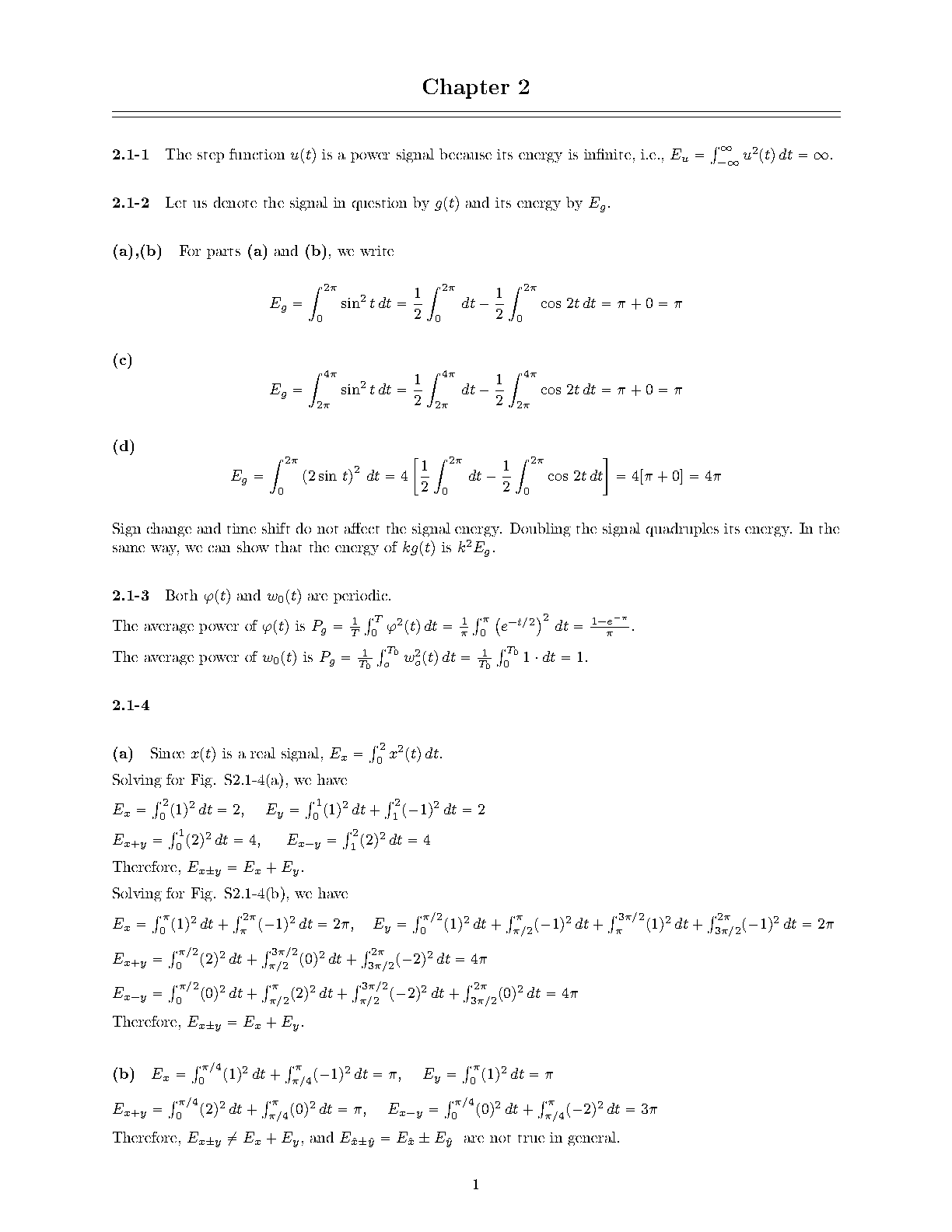
Solutions Manual for Modern Digital and Analog Communication, 5th Edition by B. P. Lathi, Zhi Ding
Unlock your academic potential with the official and verified Solutions Manual for 'Modern Digital and Analog Communication,' 5th Edition, authored by B. P. Lathi and Zhi Ding. This comprehensive resource contains detailed, step-by-step solutions for every problem in all 13 chapters of the textbook. Guaranteed to be the authentic 5th Edition version, this manual is an invaluable tool for mastering course material, completing assignments accurately, and preparing effectively for exams to achieve an A+ grade.
Show more
Preview 3 of 306 pages
{{ realtimeViews.product }}Users are viewing this page.
1Users are checking out.
$16.00
Verified solution by professor
Money Back Guarantee 24/7
Instant Download on Payment
Orders
1000
Products
1182
Online users
{{ realtimeViews.website }}
Categories
192
Affiliate earnings
$6724
Hackedexams
HackedExams is the website to download all resources for students who want to pass their exams on their first attempt. Our website offers all exam materials, including practice questions with answers, test banks, study guides, notes, summaries, and more for nursing, computer science, biology, psychology, law, and others. With resources from popular exam bodies like ATI, AQA, OCR, Edexcel, Comptia, Azure, and more, you'll easily find everything you need to get certified. Avoid resitting exams; trust in HackedExams.com to give you the resources to pass on your first attempt. Get access to exams from 2019 to 2023 and start your path to success today. "Avoid resits, get certified within days, and pass your exams on your first attempt."
{{ recentPurchase.name.shorten(30) }}
{{ __('Just purchased') }} "{{ recentPurchase.item_name.shorten(30) }}"
{{ recentPurchase.price }}
{{ userMessage }}