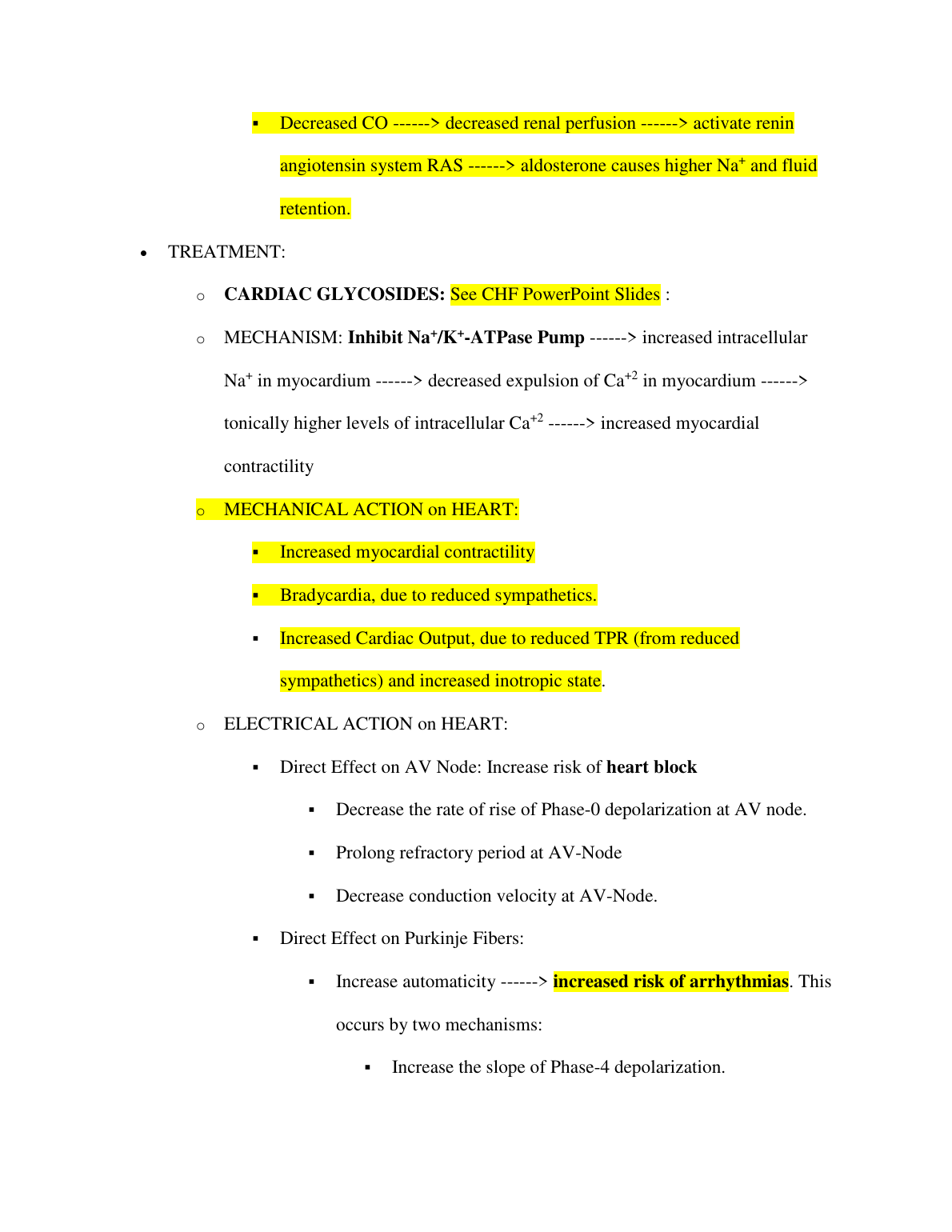
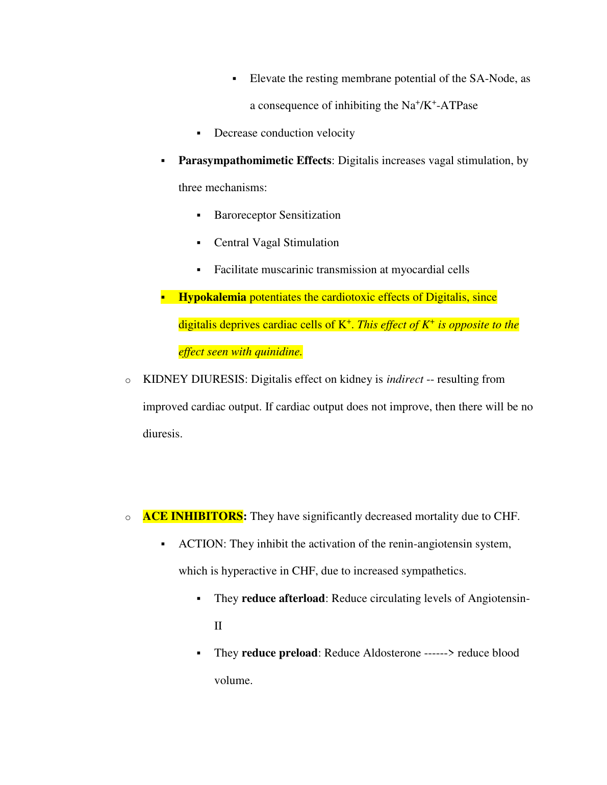
NR 508 Midterm Exam Consist of 50 Questions Test Bank of Questions from Chapters 1-4 (including Week 4 Content) and All Embedded Recorded Lectures
$18.00
Verified solution by professor
Money Back Guarantee 24/7
Instant Download on Payment
Orders
0
Products
0
Online users
{{ realtimeViews.website }}
Categories
0
Affiliate earnings
0
Hackedexams
HackedExams is the website to download all resources for students who want to pass their exams on their first attempt. Our website offers all exam materials, including practice questions with answers, test banks, study guides, notes, summaries, and more for nursing, computer science, biology, psychology, law, and others. With resources from popular exam bodies like ATI, AQA, OCR, Edexcel, Comptia, Azure, and more, you'll easily find everything you need to get certified. Avoid resitting exams; trust in HackedExams.com to give you the resources to pass on your first attempt. Get access to exams from 2019 to 2023 and start your path to success today. "Avoid resits, get certified within days, and pass your exams on your first attempt."
{{ recentPurchase.name.shorten(30) }}
{{ __('Just purchased') }} "{{ recentPurchase.item_name.shorten(30) }}"
{{ recentPurchase.price }}
{{ userMessage }}