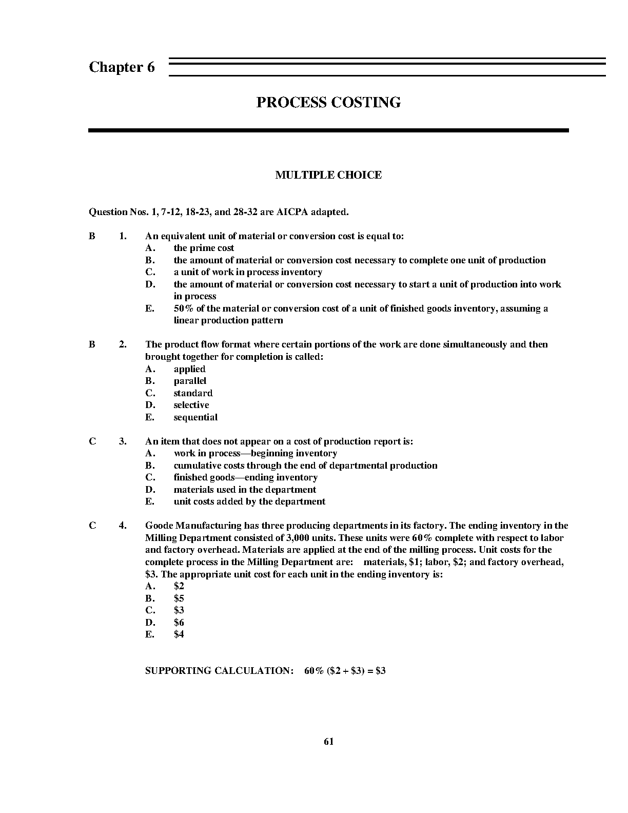
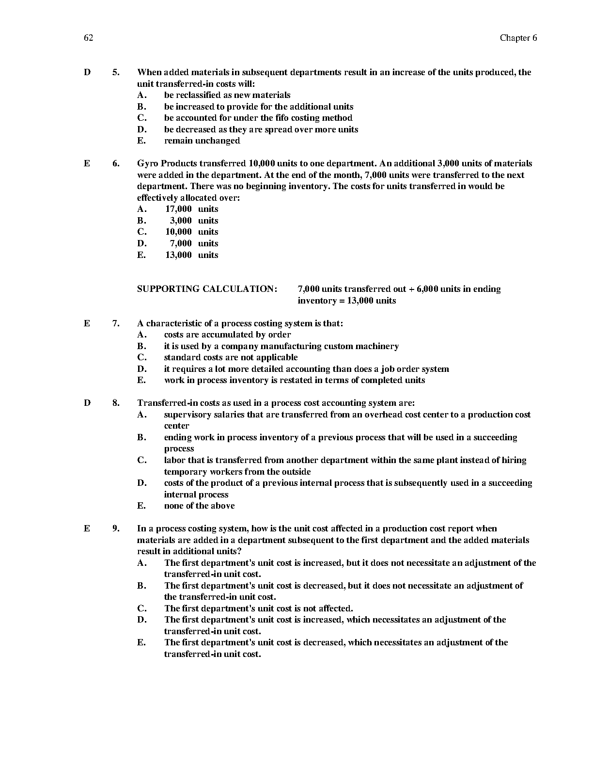
Cost Accounting, 16th Edition by Horngren, Datar, and Rajan - Chapter 6 Process Costing Test Bank with Answers and Explanations
Unlock success in your accounting course with this comprehensive test bank for Chapter 6: Process Costing, from the renowned textbook by Horngren, Datar, and Rajan. This resource features a curated collection of multiple-choice questions, including many adapted from actual AICPA exams, designed to test your understanding of key concepts. Each question comes with a verified correct answer, and complex problems include detailed supporting calculations to guide your learning process. Master equivalent units, cost of production reports, and product flow formats to ace your exams and build a solid foundation for your future CPA certification.
Show more
Preview 3 of 21 pages
{{ realtimeViews.product }}Users are viewing this page.
5Users are checking out.
$16.00
Verified solution by professor
Money Back Guarantee 24/7
Instant Download on Payment
Orders
989
Products
1106
Online users
{{ realtimeViews.website }}
Categories
147
Affiliate earnings
$9162
Hackedexams
HackedExams is the website to download all resources for students who want to pass their exams on their first attempt. Our website offers all exam materials, including practice questions with answers, test banks, study guides, notes, summaries, and more for nursing, computer science, biology, psychology, law, and others. With resources from popular exam bodies like ATI, AQA, OCR, Edexcel, Comptia, Azure, and more, you'll easily find everything you need to get certified. Avoid resitting exams; trust in HackedExams.com to give you the resources to pass on your first attempt. Get access to exams from 2019 to 2023 and start your path to success today. "Avoid resits, get certified within days, and pass your exams on your first attempt."
{{ recentPurchase.name.shorten(30) }}
{{ __('Just purchased') }} "{{ recentPurchase.item_name.shorten(30) }}"
{{ recentPurchase.price }}
{{ userMessage }}